Semilab

Versatile system for photoconductance decay measurement across a wide range of semiconductor materials

Published to: Physical Review Applied
Year: 2026
Author: András Bojtor, Dávid Krisztián, Gábor Paráda, Ferenc Korsós, Sándor Kollarics, Gábor Csősz, Bence G. Márkus, László Forró, Ferenc Simon
Carrier generation & recombination; Metrology; Optoelectronics; Photoconductivity; Radio frequency techniques; Devices; Semiconductors; Microwave techniques
Read publication
Versatile system for photoconductance decay measurement across a wide range of semiconductor materials

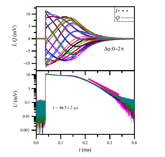
Time-resolved photoconductivity is widely used to characterize nonequilibrium charge-carrier lifetime, impurity content, and solar-cell efficiency in a broad range of semiconductors. Most measurements are limited to the detection of reflection of electromagnetic radiation at a single frequency and a single photoexciting light wavelength. We present a time-resolved photoconductivity instrument that enables broadband frequency detection (essentially from dc to 20 GHz), temperature-dependent measurements, and multiple excitation photon energy. The measurement is realized with the help of a coplanar waveguide, which acts as an efficient antenna and whose performance was tested over 10 MHz–10 GHz. The instrument enables the study of surface and bulk charge-recombination specific processes.

Contact us for Information and Pricing

Get expert advice and tailored solutions for your research needs

Get in touch